Molecule of the Day: BHT (a preservative)
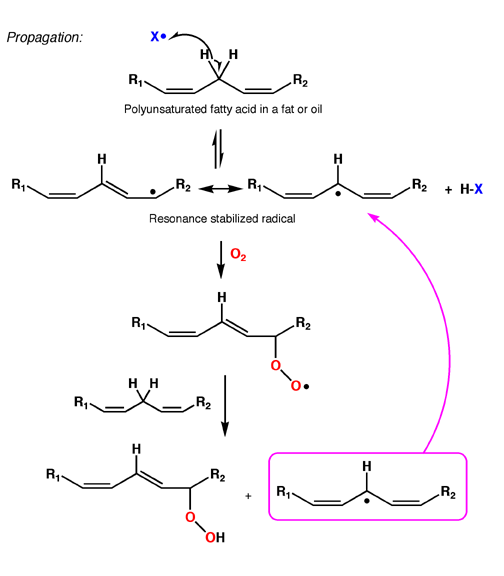
Fats and oils with polyunsaturated fatty acids become rancid when left open to the air (access to O2) because of a radical chain reaction. First, a radical process is initiated in very low concentrations in the food. This can be from a small amount of a molecule prone to make radicals in the sample, such as peroxides. It does not take much of an initiation for a radical reaction to take place. The radical reacts with polyunsatured fatty acid chains to create a resonance stabilized radical intermediate. This reacts with oxygen (O2) to create a peroxyradical, that reacts with another fatty acid molecule to create the hydroperoxide derivative of the fatty acid and a new resonance stabilized fatty acid radical, which continues the chain reaction. Further, the hydroperoxide fatty acid produced might itself break the O-O bond to initiate further radical chain reactions.
Butylated hydroxytoluene (BHT) is a food additive known as a preservative. It prevents oxidation of molecules in food such as fatty acids. The key feature of BHT is that it forms a very stable radical on the oxygen atom. In fact, because of the benzene ring which allows for extensive resonance stabilization, this radical is extremely easy to form, and will form in preference to almost all other types of radicals.The color picture below to the right shows the BHT radical surface, colored to indicate the location of the unpaired electron density (called "spin"). The blue color indicates relatively high unpaired electron density. Notice how this is distributed to three places on the benzene ring as well as being on the oxygen atom. This distribution is stabilizing, explaining with BHT forms a radical forms so easily

Once formed, the BHT radical cannot react further because the large tert-butyl groups create so much steric hindrance that the oxygen atom bearing the unpaired electron density cannot make the required contact with other molecules to allow a reactions. In this way, formation of the BHT radical stops radical chain reactions. This is not an accident, BHT was designed to make a very stable radical due to resonance that would not react further due to steric hindrance. Aren't chemists clever?!

 


BHT added to food will react with any radicals formed to create the BHT radical, which cannot react further. In this way, radical chain processes that attack fatty acids are circumvented and food does not spoil as quickly. The irony is that food purchased without preservatives due to fears of the danger of having additives may spoil sooner and present a greater health risk than the preservative.


Although preservatives have periodically received negative media attention, it turns out that peroxides and peroxyradicals in spoiling food are likely far more dangerous than the BHT could ever be. Peroxides and peroxyradicals are known carcinogens. In fact, vitamin E works in almost the exact same way to break radical chain reactions inside our bodies, and taking does of vitamin E is thought by some to be important for preventing free radicals in our bodies. By the way, worrying about radicals in our bodies is not far fetched, as free radicals, especially those associated with energy production in our mitochodria and immune system cells have been at least implicated in a number of disease states and confirmed in others. Large numbers of studies have so far found little danger associated with moderate amounts of preservatives such as BHT, and BHT has even been found to prevent some disease states when given to patients as an anti-oxidant.

BHT and carcinogenicity

Studies to determine safe limits of BHT consumption

BHT protects turkeys against certain diseases